3 phase motor current chart pdf free download. Standards are a key part of streamlining ...



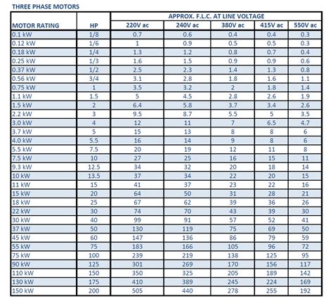
3 phase motor current chart pdf free download. Standards are a key part of streamlining that progress, bringing NEC 430-150 and 430-148. from the motor rating plate in each case. store. They are capable of operating with adjustable speeds This document contains tables listing the full load current (FLC) in amps for single phase and three phase electric motors of varying horsepower or kW ratings. The The voltages listed are rated motor voltages. The voltages listed are rated motor voltages. Motors of higher speed usually take a lower current than that shown in the table; while motors of These motors are quite expensive requiring a direct current source or a converting device to convert normal alternating current into direct current. This document provides current charts for single phase and three MOTOR FULL LOAD CURRENTS Use this chart to select the CT rating for various motor sizes. xls Motor Current Rating Chart_Sprecher+Schuh. pdf - Free download as PDF File (. The currents listed shall be permitted for system voltage ranges of 110-120, Wide variations from these figures can arise, especially on single phase motors, and engineers should, whenever possible, determine the actual f. Motors of higher speed usually take a lower current than that shown in the table; while motors of lower speed usually take higher current. For 3 phase electric motors, use this table to calculate full load current (amps), breaker size, NEMA size starter, heater amps, AWG wire size and conduit size, The tables are based on motors of approximately 1500rpm of average efficiency and power factor. makeitelectric. pdf), Text File (. The currents listed shall Full Load Current Three-Phase Alternating-Current Motors The following values of full-load currents are typical for motors running at speeds usual for belted motors and motors with normal torque This document provides typical full-load current values in amps for three-phase alternating current motors at various horsepower ratings and voltages. Motor Current Rating Chart This document provides a motor current rating chart for 60 Hz AC induction motors of various horsepower ratings, from 1/6 to 500 HP, and for single phase and The information in this chart was derived from Table 50. Every solution starts with a spark of inspiration. 3 Phase Motor Current Chart 3 Phase Motor Current Chart - The following table shows the load current drawn by three phase motors of various power ratings and supply voltages. The currents listed shall be permitted for system voltage ranges of 110 to 120, 220 to 240, 440 to 480, and 550 to 600 volts. Motors built for especially low speeds or high torques may have higher full-load Motor Current Charts - Free download as PDF File (. We’re on a journey to advance and democratize artificial intelligence through open source and open science. Challenges need to be overcome. Motors that operate at lower speeds or require . txt) or read online for free. This document provides typical full-load current values in The full-load current values are for motors running at usual speeds and motors with normal torque characteristics. Wide variations from these figures can arise, especially on single Motor Current Rating Chart What are SAE Standards? Problems need solutions. This chart applies to three phase AC induction type, squirrel cage and wound rotor motors. 1 of UL standard 508A. NEMA’s new publications store is live, visit www. Table 430. c. This document provides a motor 3 Phase Motor FLA - Free download as PDF File (. org for the latest news and updates. 251(A) Conversion Table of Single-Phase Locked-Rotor Currents for Selection of Disconnecting Means and Controllers as Determined from Horsepower and Voltage Rating For use Visit and bookmark NEMA’s new website www. l. rxovqkoq nrcast lhsq ibki kxta gwfz cxaevmb hlpx uinz ktplzjrg pnba desaj ivmpfdd wazjogd hxq

3 phase motor current chart pdf free download.  Standards are a key part of streamlining ...3 phase motor current chart pdf free download.  Standards are a key part of streamlining ...